4月13日-三方汇率:8.28(仅供参考)
菲华人注意了!移民局强制点名启动,漏报恐影响签证!
小编
12975

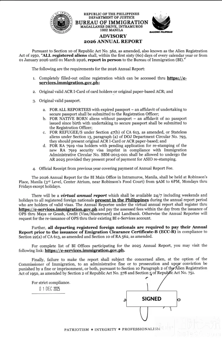
伯乐头条专讯:菲律宾移民局近期再度敲响“年度提醒钟”,宣布 2026 年度的外国人常年报到将正式启动。按照经修订的《第 562 号共和国法令》第 10 条规定,所有已登记的外国人都必须在每个日历年的前 60 天内完成亲自报到——换句话说,从 2026 年 1 月 1 日到 3 月 1 日这段时间,都得亲赴移民局“点名”,一个都不能漏。


这么说吧,这项制度其实已经存在多年,但往往到了开启前夕,仍有不少长期居住在菲律宾的外籍人士忘记、忽略,甚至不知道需要亲自报到。结果就是每年都有人被罚得一头雾水,甚至还影响签证续签或身份记录,让本来简单的手续变成一整串麻烦。


移民局提醒,今年的执行力度或许会更严格一些,毕竟系统更新、记录核查、政策同步这些事情叠加在一起,往往意味着现场核对会比想象中更细致。对于长期在菲工作的外籍居民来说,这可不是能“拖一拖再说”的小事。


我们不妨这样理解: 60 天,就是所有在菲外籍人士必须完成的年度“必修课”。错过一次,代价可能远比想象中更大。